On urban planning resources or references for the pandemic
I am posting for reference this article compiling helpful references for urban planning in the context of the COVID-19 pandemic. Most of the references listed are based on the US experience and I am sure there is already a wealth of information coming from other countries as well including those that have been successful in mitigating the effects of the pandemic.
Brasuell, J. (2020) “Urban Planning Resources for COVID-19”, Planetizen, https://www.planetizen.com/node/109238?utm_source=newswire&utm_medium=email&utm_campaign=news-05142020&mc_cid=2e155996b6&mc_eid=9ccfe464b1 [Last accessed: 5/16/2020]
–
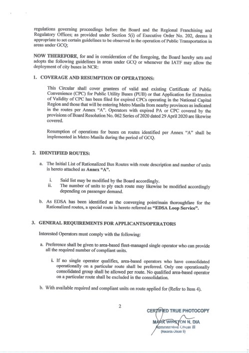
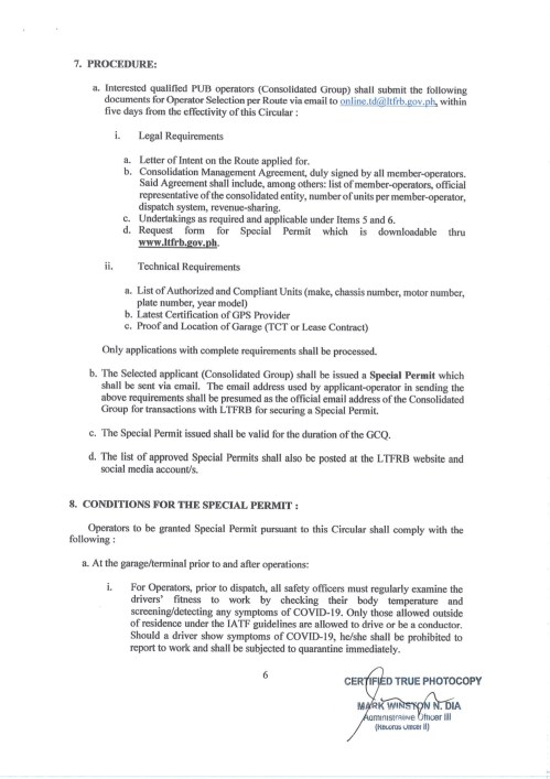
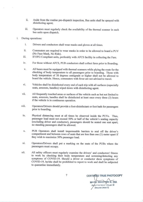
LTFRB Memorandum Circular No. 2020-019 – Guidelines for the Operations of PUBs During the Period of GCQ in Metro Manila
The following images show the full 19 pages of the Land Transportation Franchising and Regulatory Board Memorandum Circular No. 2020-019: Guidelines for the Operations of PUBs During the Period of GCQ in Metro Manila. Again, no comments for now as I post this for reference. I have not seen it posted on the LTFRB’s Facebook page yet but it is a public document and something that needs to be circulated for the benefit of the riding public.


















–
On the DOTr Guidelines for Public Transport – Layouts for Distancing
Here again, for reference, are the guidelines issued by the DOTr in relation to the transition from ECQ to GCQ and beyond (immediate rather than far future). The following images show the physical distancing prescribed for road transport.







The last image for the tricycle is something that should have been allowed at least for a limited number of tricycles during the ECQ period. That could have eased transport woes for many people especially those who had to walk long distances in order to get their supplies. Some LGUs like Davao were able to issue Executive Orders to that effect that the IATF did not contend (or is Davao a special case?). Now, we see a lot of LGUs issuing EO’s and ordinances allowing public utility tricycles to operate again but limiting their numbers through odd-even schemes. Perhaps the same should be applied to pedicabs or padyak (non-motorized 3-wheelers), too.
–
On the proposed single bus route along EDSA
A friend posted this on social media as news came out about the government’s statement on its considering a single bus route for EDSA. EDSA, of course, is Circumferential Road 4 and perhaps the busiest road in Metropolitan Manila in terms of volumes of people and vehicles traversing this road. Public transportation along EDSA is mainly by buses and the MRT Line 3. Line 3’s capacity is already diminished despite the high demand for it mainly because of the number of train sets that are currently in operation. Buses, meanwhile, are split among the many routes converging along much of EDSA. These routes are shown in the map on the left where you can see the overlapping routes that have various end points.


Of course, it is best to read the Final Report of this study. That way, one is able to see the overall context for this section that is part of the concluding part of the report. I recall that the consulting team from UP was able to map the routes of other public utility vehicles like jeepneys and UV Express from that time. Perhaps the DOTr still has a copy somewhere? The NCTS Library in UP Diliman is currently closed so one may have to search the internet first for a copy of the study or perhaps snippets of it here and there. Perhaps related to this is a proposal to revive (or maybe the right word is ‘resurrect’?) the now defunct Metro Manila Transit Corporation or MMTC that used to dominate EDSA and other major roads in direct competition with the few private bus companies during its heydays as well as the jeepneys.
–
On the DOTr Guidelines for Public Transport – Aviation Sector
Here are the guidelines for the Aviation Sector. My only comment here is that many people are anxious about when they can travel again, particularly to other parts of the country mainly for business or to go home (e.g., many students have been stranded in the cities where they go to school and away from their hometowns). Part of this anxiety is the thinking that airfares will increase significantly as airlines are forced to reduce capacities for their aircraft to adhere to physical distancing guidelines. Gone, probably, are the discount fares like the Piso fare promos.













Related to this, I have received emails from 4 airlines I frequently used – Cebu Pacific, Philippine Airlines, Singapore Airlines and Japan Airlines. All provided updates on their respective efforts to ensure the future air travel will be safe, health-wise. As for the airport terminals, that’s another story…
–
On the DOTr for Public Transport – Maritime Sector
Here’s a continuation of the set of guidelines issued by the Department of Transportation for transport operations for areas that are or will be under the General Community Quarantine (GCQ). Again, I try to refrain from making any critiques or comments, and post this for information and reference.








–
On the DOTr GCQ Guidelines for Public Transport Operations – Rail Sector
I had previously posted for information and reference the Department of Transportation’s (DOTr) guidelines for road public transportation. Here are the guidelines for rail public transportation:







While I said that I will refrain from commenting or critiquing these guidelines starting from the previous post on road public transport, I could not help but say a few things about the case for rail. In particular, I am most concerned about the reduced capacity of trains based on the infographics above. The particular infographic states that passenger capacities for Line 1, Line 2, Line 3 and PNR would be 12, 10, 13 and 20 percent, respectively. These are very low numbers that are not even comparable to the 30 to 50% passenger capacities that road public transportation may be able to achieve. Would it be worth it (and I’m talking about financial terms here) to operate at these capacities? Or are there solutions that could increase train passenger capacities while ensuring physical separation. I use the term “physical separation” here instead of “physical distancing” because it may be possible to design not just a layout but barriers that would also be effective in minimizing if not eliminating the possibility of infection of the virus should any passenger turn out to be infected. People, after all, will be required to wear masks and even gloves. Others may opt to wear face shields. And there are also measures vs infection at the stations or terminals as well as the workplaces. What do you think?
–
On the DOTr GCQ Guidelines for Public Transportation – Road Sector
I just wanted to post, share and document here the DOTr’s Guidelines for Public Transport Operations for areas under General Community Quarantine (GCQ). The images are self explanatory so I will not discuss these nor will I offer a critique at this point. The following are public and posted on DOTr’s social media pages (i.e., Facebook) and have been shared and circulating among the public. I also post it here for future reference as I do to many other references like articles and infographics.

















–
Reference on Bicycle Facility Preferences and Increasing Bicycle Trips
There are many references that are free for downloading. These include the latest publications from the National Academies Press that includes outputs from the National Academies of Sciences, Engineering and Medicine. I am sharing here and posting also as a reference for me to return to a new publication from the National Cooperative Highway Research Program:
NCHRP Research Report 941: Bicyclist Facility Preferences and Effects on Increasing Bicycle Trips by Watkins, Clark, Mokhtarian, Circella, Handy and Kendall.
The research was supported by the American Association of State Highway and Transportation Officials (AASHTO) in cooperation with the Federal Highway Administration (FHWA).
–
On empty malls and what’s in store for us under the new normal
I took the following photos inside a mall that’s close to my residence. One had to go inside to get to the drugstore located at the second level of the mall so you can see what it looks like during the lockdown. Not surprisingly, it is deserted but it looks clean and orderly. It seems that mall’s doing maintenance work and I did see a couple of janitors inside. They are probably the skeletal staff of the mall in-charge of making sure the building does not deteriorate during the lockdown period.
This used to the a very busy area leading to the supermarket and the appliance shop. The area also usually was at the events venue and often set-up here are the weekend stalls selling local items including our favorite cashew butter and sylvanas.
A look back at what was usually a crowded area at the center of the mall as I moved up the working escalator
The second level was also practically deserted with only a few customers going to the drugstore and the occasional janitor or security personnel going around
Across from where I was walking was another crowded area as this is the food court with the cinemas just beside it.
View of the ground floor as I descended on the non-functioning escalator on the other side of the second level.
I saw the photos posted on social media and the news yesterday as people crowded at mall entrances on the first day after the lifting of the Enhanced Community Quarantine (ECQ) in many cities. Of course, they are still under the General Community Quarantine (GCQ) but more people are allowed to go outside their homes with businesses like the malls starting to resume operations. I sure hope this ‘excitement’ and the resulting crowds will not lead to a worse second wave of Covid-19 infections. That will surely lead to the reimposition of ECQ in those areas. There are lessons to be learned from the reopening of businesses like shops and restaurants once quarantines have been relaxed. Those are lessons that are mostly from the experiences of other countries that we should carefully and meticulously consider in order to avoid the mistakes that have led to a second wave of infections. Let us not lead ourselves towards recklessness or irresponsible behavior that can spell disaster to many. Let us not think that things will go back to the ‘normal’ we used to live.
–